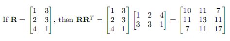
what is a matrix times itself
what is a matrix times itself. There are some references to what is a matrix times itself in this article. If you are looking for what is a matrix times itself you've came to the right place. We have posts about what is a matrix times itself. You can check it out below.
Showing posts matching the search for what is a matrix times itselfTotal Pageviews
Search Here
Powered by Blogger.
Category
Categories
Popular Posts
-
While scrolling throughout my Facebook feed, an inescapably recurrent habit, I came across a post titled, "Do Good Recklessly...
-
Everyone has bad days. Maybe you sleep above all of your alarms, or miss an important deadline. But some bad days are worse than o...
-
Source
-
What would I do if I get to be a high schooler again? I would like to make that part of my life better than it was originally. The...
-
1. Three Facilities of shoes MAX! Its as easy as this, one pair for chilling such as flip-flops, comfy pair fo...
-
“The Golden Girls” was onto something long afore the rest of society caught on. The hit TV show laid the nuclear family paradigm t...
-
Soalan latihan matematik tingkatan 3 bab 3, soalan latihan matematik tingkatan 3, soalan latihan matematik tingkatan 4, soalan latihan matem...
-
Source
-
Jawapan great mindset asas sains komputer tingkatan 1 pendidikan jawapan great mindset asas sains komputer tingkatan 1 mathematics jawapan g...
-
Contoh Soalan Peperiksaan Jpa Kp19 . Peperiksaan online ini adalah tapisan peringkat awal calon yang dijalankan pihak suruhanjaya perk...
