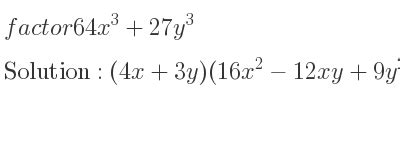
factor 64x 12 27y 3
factor 64x 12 27y 3. There are some references to factor 64x 12 27y 3 in this article. If you are looking for factor 64x 12 27y 3 you've came to the right place. We have posts about factor 64x 12 27y 3. You can check it out below.
Showing posts matching the search for factor 64x 12 27y 3Total Pageviews
Search Here
Powered by Blogger.
Category
Categories
Popular Posts
-
While scrolling throughout my Facebook feed, an inescapably recurrent habit, I came across a post titled, "Do Good Recklessly...
-
Everyone has bad days. Maybe you sleep above all of your alarms, or miss an important deadline. But some bad days are worse than o...
-
Source
-
What would I do if I get to be a high schooler again? I would like to make that part of my life better than it was originally. The...
-
1. Three Facilities of shoes MAX! Its as easy as this, one pair for chilling such as flip-flops, comfy pair fo...
-
“The Golden Girls” was onto something long afore the rest of society caught on. The hit TV show laid the nuclear family paradigm t...
-
Soalan latihan matematik tingkatan 3 bab 3, soalan latihan matematik tingkatan 3, soalan latihan matematik tingkatan 4, soalan latihan matem...
-
Source
-
Jawapan great mindset asas sains komputer tingkatan 1 pendidikan jawapan great mindset asas sains komputer tingkatan 1 mathematics jawapan g...
-
Contoh Soalan Peperiksaan Jpa Kp19 . Peperiksaan online ini adalah tapisan peringkat awal calon yang dijalankan pihak suruhanjaya perk...
